2009/02/01
×
[PR]上記の広告は3ヶ月以上新規記事投稿のないブログに表示されています。新しい記事を書く事で広告が消えます。
高校生クイズで出題された問題を一般化してみたところ、面白い構造が浮かび上がってきました。その構造を考察している記事の3回目です。
前回ではn=1から6までの各々に対して、Pnを求めてみたのでした。再び、前回の画像を貼り付けます。
まずは、途中式の方から見ます。
分母の規則はすぐに気づくでしょう。自然数のべきになっています。それぞれのnに対して、n1,n2,……,nn と並んでいます。
分子もこの記事を熱心に読んでくれる人ならば、きっと問題ないはず(?)。「パスケルの三角形」に並ぶ数。いわゆる「二項係数」です。コンビネーション、nCrで表される数です。
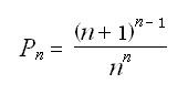
次に一般項です。
僕はP5の分子からピンと来ました。1296は36の平方。つまり、1296=64 の関係が成り立ちます。偶然にしてはできすぎです。他の値も確認したら、案の定、きれいな関係が成立していました。
これを見つけたとき、おおぉと声が漏れそうになりました。このきれいな式を書きたくて、WORDを引っ張り出してまでがんばりました。
さあ、ここまでくれば、Pnの一般項を予想するのは何の苦労もありません。つまり、
となりますね。この予想が成立するのは確認済みです。
nを無限大に発散させれば、この一般項は0に収束します。
一般項がここまで美しい形で表現できると、うまい対応がありそうです。残念ながら、まだ考えがそこまで到達していません。誰かチャレンジしてみませんか?
PR
このサイトについて……
思っていること、考えていることを誰に頼まれることもなく綴っています。自分の思考の整理として書いているので、日記ではありません。
自分のアンテナに引っかかった面白いもの、興味惹かれるものも収集して記録しています。
不定期連載です。気の向いたときにお立ち寄りください。
自分のアンテナに引っかかった面白いもの、興味惹かれるものも収集して記録しています。
不定期連載です。気の向いたときにお立ち寄りください。
なお、別サイトで読書記録をつけています。こちらにもお立ち寄りいただければ幸いです。
http://bookdiary-k.blogspot.com/
http://bookdiary-k.blogspot.com/
twitter
カウンター
(since 2009/02/01)
カレンダー
| 10 | 2025/11 | 12 |
| S | M | T | W | T | F | S |
|---|---|---|---|---|---|---|
| 1 | ||||||
| 2 | 3 | 4 | 5 | 6 | 7 | 8 |
| 9 | 10 | 11 | 12 | 13 | 14 | 15 |
| 16 | 17 | 18 | 19 | 20 | 21 | 22 |
| 23 | 24 | 25 | 26 | 27 | 28 | 29 |
| 30 |
最新記事
(03/27)
(02/09)
(02/05)
(01/30)
(01/27)
(01/24)
(01/20)
(01/13)
(01/04)
(01/03)
カテゴリー
アーカイブ
クリックバトラー
